近日,由beat365官网刘久兵博士作为第一作者兼通讯作者的论文成果“Optimization-Based Three-Way Decisions With Interval-Valued Intuitionistic Fuzzy Information”入选为ESI高被引论文。论文于2023年6月正式发表在人工智能领域国际顶级期刊《IEEE Transactions on Cybernetics》(中国科学院SCI一区TOP期刊,IF2022=11.8),根据科睿唯安(Clarivate Analytics)公布的最新数据,该成果自正式发表以来共在Web of Science被引用24次,其引用频次排名位于同学科领域的全球前1%。

WOS检索结果
论文简介:
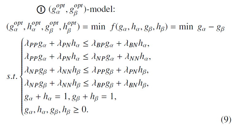
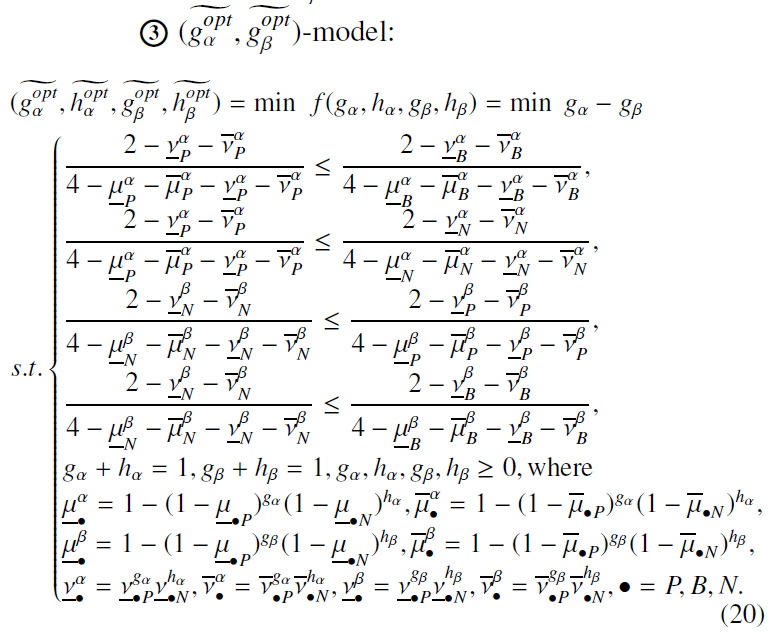
该论文的合作者包括南京审计大学黄兵教授、南京大学李华雄教授、beat365英国官网网站卜祥智教授和南京大学周献中教授。该研究创新性提出了确定经典决策粗糙集概率阈值对的一种新方法及其在区间直觉模糊环境下的拓展模型。该论文在刘久兵,李华雄,周献中等人提出的基于优化表示的阈值确定模型对(Liu J B , Li H X, Zhou X Z, Huang B, Wang T X, An optimization-based formulation for three-way decisions [J]. Information Sciences, 2019, 495:185-214.)基础上,采用最优化理论和集成学习方法建立了经典决策粗糙集的单一等价模型,并从理论上分别证明了它与经典决策粗糙集(Yao’s model)和Liu et al.’s model数学上的等价性。所提出的模型与方法能有效解决现有方法在一些情形下阈值难以确定的问题且相比于现有方法,仿真实验结果表明:所提出方法在获得相同阈值前提下具有模型求解耗时短、计算量小和普适性等优势,为决策粗糙集概率阈值的确定和规则获取提供了一种新思路。




基于前期研究工作,刘久兵博士近期又取得新的重要进展:
研究2:针对三支群共识决策问题,基于海明距离定义语言直觉模糊相似测度,构建基于非相似度最小的最优集成模型并导出权重迭代公式。进而设计一种实现语言直觉模糊综合损失函数一致性的迭代算法且理论上证明了该算法的收敛性。依据迭代算法获得满足一致性的综合损失函数,建立确定语言直觉模糊三支群决策阈值的单一优化模型,并提出基于群体共识的语言直觉模糊三支决策知识获取方法。
该研究成果以第一作者兼通讯作者发表于国际权威期刊《Information Sciences》(中科院SCI一区TOP期刊, IF2022=8.1) ,论文合作者包括:硕士生郭鑫滢、华南理工大学任珮嘉副教授、西南大学张里博博士和beat365英国官网网站郝志峰教授。
研究3:针对如何提高三支群决策一致性问题,采用语言直觉模糊数表达损失函数并建立专家群体视角下的决策粗糙集模型。基于此提出经典决策粗糙集单一等价模型并利用最优化方法求解获得专家个体三支决策阈值对。在此基础上,我们定义相似测度和群一致性指标且设计一种实现专家群体阈值一致性的更新机制和算法,进而提出三支群决策一致性实现方法。算例分析和大量实验表明了所设计方法的有效性和优势。
该研究成果以第一作者发表于国际权威期刊《International Journal of Approximate Reasoning》(中国科学院SCI二区,IF2022=3.9),论文合作者包括:硕士生胡诗琳、南京大学李华雄教授、华南理工大学刘勇军教授、南京审计大学黄兵教授和南京大学孙宇祥助理研究员。
研究4:基于用户的不同风险偏好特征,提出一种融入用户风险偏好的三支协同过滤推荐模型,以提高推荐规则的准确性。首先,考虑用户的不同风险偏好对项目评分的影响,基于用户⁃项目评分矩阵定义用户关于项目的偏好概率测度,建立用户⁃项目偏好概率模型,从理论上证明了该模型是现有模型的推广和拓展。其次,利用决策粗糙集,推导出用户在不同风险偏好下的三支推荐模型阈值表达。然后,以上述工作为基础,将推荐准确性和推荐成本作为优化目标,设计基于粒子群优化算法的用户偏好概率模型参数确定方法。最后,在MovieLens数据集上的实验验证了提出模型与算法的有效性。
该研究以通讯作者发表于北大核心期刊《南京大学学报(自然科学版)》,该论文入选2023年中国粒计算与知识发现学术会议优秀论文。论文合作者包括:硕士生黄树添、硕士生胡诗琳、beat365英国官网网站卜祥智教授和南京大学李华雄教授。
论文信息具体如下(*为通讯作者):
[1] Jiubing Liu*, Bing Huang, Huaxiong Li, Xiangzhi Bu, Xianzhong Zhou. Optimization-based three-way decisions with interval-valued intuitionistic fuzzy information. IEEE Transactions on Cybernetics, 2023, 53(6): 3829-3843.(入选为ESI高被引论文)
[2] Jiubing Liu*, Xinying Guo, Peijia Ren, Libo Zhang, Zhifeng Hao. Consensus of three-way group decision with weight updating based on a novel linguistic intuitionistic fuzzy similarity. Information Sciences, 2023,495:185-214.
[3] Jiubing Liu, Shilin Hu, Huaxiong Li, Yongjun Liu, Bing Huang, Yuxiang Sun*. Achieving threshold consistency in three-way group decision using optimization methodology and expert-weight-updating-strategy. International Journal of Approximate Reasoning, 2023, 158:108922
[4]黄树添,胡诗琳,卜祥智, 李华雄,刘久兵*. 融入用户风险偏好的三支协同过滤推荐模型. 南京大学学报(自然科学版), 2023, 59(5): 853-865.
作者介绍:
刘久兵,南京大学管理学博士,加拿大Regina大学访问学者,beat365英国官网网站讲师,硕士生导师,入选汕头市高层次人才和beat365英国官网网站卓越人才计划优秀青年人才,主要研究智能决策、运筹优化、数学建模、推荐系统等。以第一或通讯作者在《IEEE Transactions on Cybernetics》《Information Sciences》(4篇)、《Applied Soft Computing》《International Journal of Approximate Reasoning》《Journal of Intelligent & Fuzzy Systems》《系统工程理论与实践》《运筹与管理》等重要期刊上发表论文24篇,含3篇高被引论文。主持国家自科青年项目、广东省自科面上、青年项目和广东省社科青年项目等8项。担任中国人工智能学会粒计算与知识发现专委会委员、国际粗糙集学会会员、IEEE会员、中国运筹学学会会员、中国系统工程学会会员和中国计算机学会会员。曾获“中国粒计算与知识发现学术会议”优秀论文奖、博士研究生国家奖学金、硕士研究生国家奖学金、本科国家奖学金、全国研究生数学建模竞赛国家二等奖、全国大学生数学竞赛(数学专业组)省一等奖和beat365英国官网网站“优秀共产党员”。指导本科生获2022全国大学生数学建模竞赛包括国家一等奖等10项。指导硕士生获“2023中国粒计算与知识发现学术会议”优秀论文奖。目前担任IEEE TFS、IEEE SMCS、INS、ESWA、ASOC、IJAR、IJMLC、《系统工程理论与实践》、《计算机学报》等20余种期刊及多个学术会议审稿人。
来源:科研与研究生办公室
编辑:马雪丽
初审:黄 金
复审:林泽锋
终审:郭功星